Zamlı maaşlar bu hafta hesaplarda olacak!
Emekli ve memurların beklediği hafta geldi. 2018 yılı enflasyonuna göre belirlenen zamlı maaşlar bu ay hesaplara yatacak
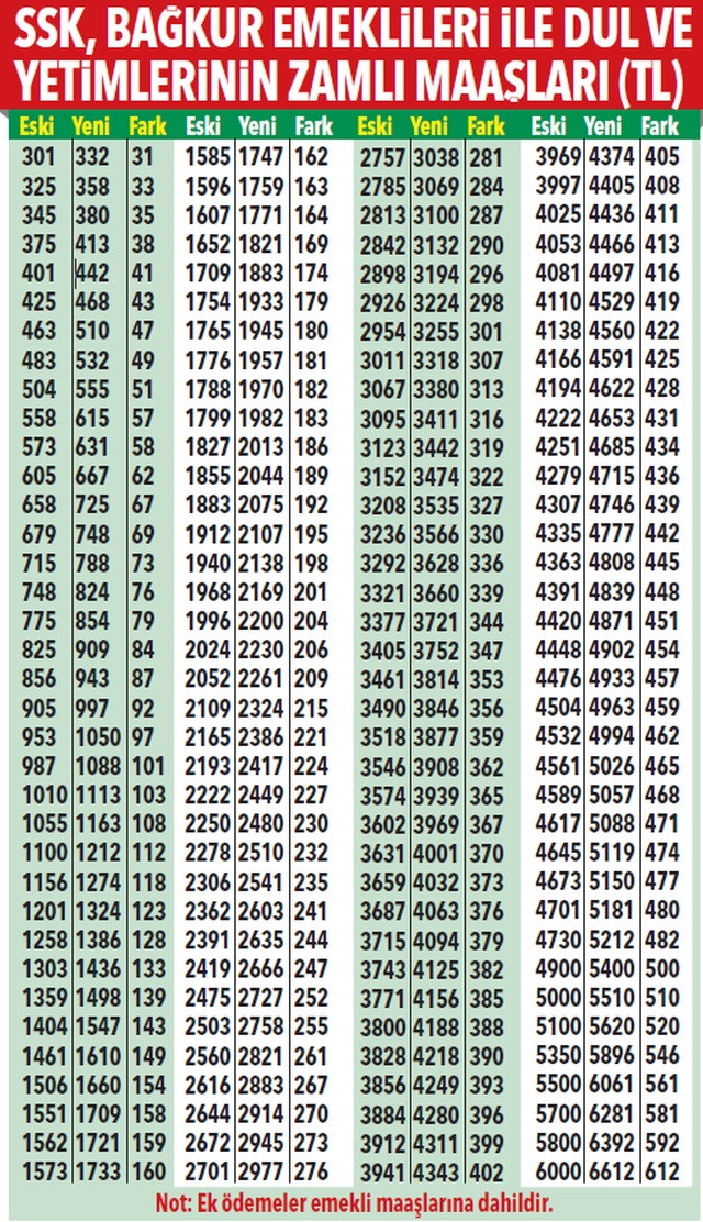
Emeklilere ve memurlara verilecek zam, 2018 yılı enflasyonuyla ortaya çıkmıştı. Buna göre; SSK ve Bağkur emeklilerinin ocak itibarıyla temmuz ayına kadar alacağı maaş yüzde 10.19 artacak. Bir başka deyişle temmuzda ek ödeme dahil 1713 lira olan 2000 yılı öncesi işçi emeklisinin en düşük maaşı 175 lira artışla 1888 liraya yükselecek. Esnaf Bağ-kur emeklisinin maaşı 1448 liradan 1596 liraya çıktı.
ZAM ORANI YÜZDE 10.73
Memur ve emeklisinin zam oranı iki yılda bir yapılan toplu sözleşmeye göre belirleniyor. Enflasyondan kaynaklı fark oluşursa bu da zamma ekleniyor. Sonuç olarak fark ve diğer sosyal haklar da eklenince memur ve emeklisinin ocak zammı yüzde 10.73’e ulaştı. Böylece aile yardımı ödeneği dahil en düşük memur maaşı 3512 liraya, en düşük memur emeklisi aylığı da 230 lira artışla 2149 liradan 2380 liraya yükseldi.
DUL VE YETİMLER DE FAYDALANACAK
Emeklinin vefatından sonra geride kalan dul ve yetimlerine belli oranlarda maaş bağlanıyor. Maaş hak sahibi eş ve bir çocuksa; maaşın yüzde 50’si eşe, yüzde 25’i çocuğa bağlanır. Hak sahibi eş ve iki çocuksa; eşe maaşın yüzde 50’si, çocuklara da yüzde 25’şer ödenir. Hak sahibi eş ve 3 çocuk varsa maaşın yüzde 40’ı eşe bağlanır, çocuklara ise yüzde 20’şer hisse düşer. Ölen sigortalının anne babası ise muhtaçlık durumuna göre maaşın yüzde 25’i oranında hisse alır. zamlar da dosya başına yapılıp hisselere göre pay ediliyor. Örneğin; 2000 lira maaş alırken vefat eden SSK emeklisinin eşine maaşın yüzde 50’si, yetim çocuğuna ise yüzde 25’i bağlanmışsa yüzde 10.19’luk zam da bu oranda yansıtılacak. yani dosyaya isabet eden zamla yeni maaş 2204 lira olurken, zamdan önce 1000 lira alan eşe bu aydan itibaren 1102 lira, 500 lira maaş alan yetim çocuğuna ise 551 lira ödenmeye başlanacak.
NE ZAMAN YATACAK?
İlk zamlı maaş ödemesini alacak emekliler SSK’lılar. SSK’lı emekliler 17 Ocak Perşembe gününden itibaren zamlı maaşlarını çekmeye başlayacak. İlk zamlı maaşı, emeklilik kartındaki tahsis numarasının son rakamı 9 olanlar alacak. Tahsis numarası 7 olanlara ayın 18’inde, 5 olanlara ayın 19’unda, 3 olanlara 20’sinde, 1 olanlara 21’inde, 8 olanlara 22’sinde, 6 olanlara 23’ünde, 4 olanlara ayın 24’ünde, 2 olanlara 25’inde, 0 (sıfır) olanlara da ayın 26’sında zamlı maaş ödemesi yapılacak. Bağ-kurlu emekli de 25 Ocak ile 28 Ocak’ta itibarıyla zamlı yeni maaşlarına kavuşacak.
MEMUR EMEKLİSİNE FARK 25 OCAK'TA
Memur emeklileri maaşlarını 1-5 Ocak arasında çekti. Ancak hem enflasyon farkı hem de zam maaşlara yansıtılmadı. Bir başka deyişle memur emeklileri 1-5 Ocak’ta zamlı maaşlarını alamadı. Emekli Sandığı kapsamında emekli, malul, vazife malulü, dul veya yetim aylığı alanların aylıklarının ocak ayının 1’i ila 5’i arasında ödendiğini hatırlatan Aile, Çalışma ve Sosyal Hizmetler Bakanı Zehra zümrüt Selçuk, “Bu kapsamdaki emeklilerin 1 Ocak 2019 itibarıyla aylıklarında oluşan fark tutarları, aylık alınan banka ve PTT şubelerince 25 Ocak’ta ödenecek” dedi.
