Sağlık Bakanlığı'nın personel alım ilanı Resmi Gazete'de: Hangi branştan kaç kişi alınacak?
Sağlık Bakanlığı'nın 15 bini hemşire, 2 bini ebe olmak üzere toplam 27 bin sözleşmeli personel alımına ilişkin ilanı Resmi Gazete'de yayımlandı.
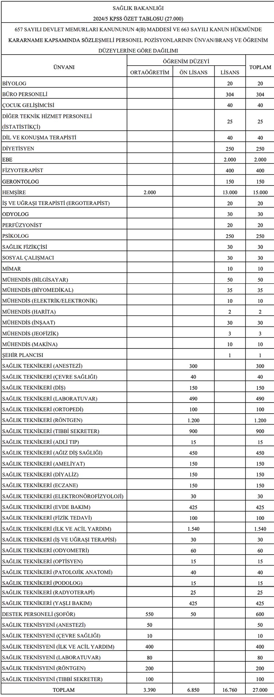
Sağlık Bakanlığı'nın 27 bin sözleşmeli personel alımı Resmi Gazete'de yayımlandı. İlanda, "Sağlık Bakanlığı taşra teşkilatı hizmet birimlerinde istihdam edilmek üzere 657 sayılı Devlet Memurları Kanunun 4'üncü maddesinin (B) fıkrası ile 663 sayılı Kanun Hükmünde Kararnamenin 45/A maddesi kapsamında 27 bin sözleşmeli personel Kamu Personeli Seçme Sınavı (KPSS) sonucuna göre ÖSYM tarafından yapılacak merkezi yerleştirme ile alınacaktır" denildi.
Öte yandan yayımlanan ilanda, ortaöğretim, ön lisans ve lisans düzeylerinde tercih yapılabilecek sözleşmeli personel pozisyonlarının ve başvuru şartlarının bulunduğu KPSS-2024/5 tercih kılavuzunun ÖSYM'nin internet sitesi üzerinden yayınlanacağı belirtildi.
İlanda adayların tercihlerini, 21 Şubat 2024 - 28 Şubat 2024 tarihleri arasında tercih kılavuzunda belirtilen kurallara göre ÖSYM'nin internet sitesi üzerinden T.C. Kimlik Numarası ve şifresini girerek yapabileceği ve ÖSYM'ye ya da Sağlık Bakanlığı'na posta yoluyla gönderilen veya elden verilen tercih listelerinin geçerli olmayacağı vurgulandı.
Yayımlanan ilanda, 15 bini hemşire, 2 bini ebe, bin 540'ı sağlık teknikeri (ilk ve acil yardım) ve bin 200 sağlık teknikeri (röntgen) olmak üzere toplamda 27 bin sağlık personelinin alınacağı kaydedildi.

Kaynak:

