Konya Merkezde 104 Arsa Satışa Çıkıyor: Fiyatlar 35 Bin TL'den Başlıyor
Konya'nın Meram, Selçuklu ve Karatay ilçelerinde toplam 104 arsa satışı için tarih verildi. 4-8 Ağustos 2025 tarihlerinde yapılacak ihale, fırsatlar sunuyor. Peşin ödemeye %20 indirim!
Konya Çevre, Şehircilik ve İklim Değişikliği İl Müdürlüğü, 104 arsayı satışa sunuyor. Konya'nın Meram, Selçuklu ve Karatay ilçelerinde yer alan bu taşınmazlar, yatırımcılar için büyük fırsatlar sunuyor. Satış ihalesi, 4-8 Ağustos 2025 tarihleri arasında yapılacak.
Fiyatlar 35 Bin TL'den Başlıyor
Satışa sunulan arsaların fiyatları, 35 bin TL gibi uygun bir rakamla başlıyor. Yatırımcılar için cazip fırsatlar yaratacak bu arsalar, bölgedeki değer artışından faydalanmak isteyenler için önemli bir fırsat.
Peşin Ödemede %20 İndirim
İhaleye katılan ve peşin ödeme yapmayı tercih edenler, satış bedelinde %20 indirim avantajından yararlanacak. Bu indirim, yatırımcıların daha düşük maliyetle arsa sahibi olmasına olanak tanıyacak.
Satışta KDV ve Emlak Vergisi Muafiyeti
Satışı yapılan taşınmazlar, KDV'den muaf tutulacak. Ayrıca, 5 yıl süreyle emlak vergisinden muaf olacak bu arsalar, yatırımcılar için ek bir avantaj sağlıyor. Bu avantajlar, arsaların alım-satım işlemlerinde daha kazançlı bir seçenek sunuyor.
Teklifler Posta ile Gönderilebilecek
Arsalar için teklif verecek kişiler, posta yoluyla iadeli taahhütlü tekliflerini gönderebilecek. Ancak, tekliflerin belirtilen ihale saatine kadar Komisyon Başkanlığı’na ulaşması gerektiği unutulmamalıdır. İhaleye katılım için tüm şartların yerine getirilmesi gerekmektedir.
Bu fırsatları kaçırmamak için, 4-8 Ağustos 2025 tarihlerinde yapılacak ihaleye katılmak isteyenlerin hazırlıklı olması gerekiyor.
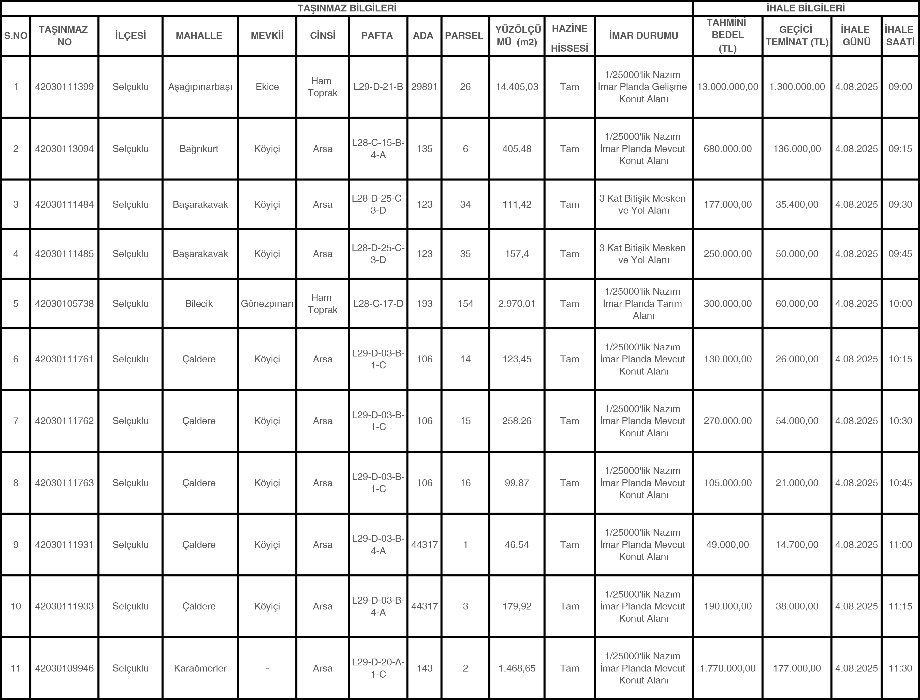
Arsaların tam listesi şu şekilde:









MEMLEKET-ÖZEL HABER
